近日,强流重离子加速器装置(简称HIAF)项目组在大功率高精度快循环电源控制方面获重要成果。
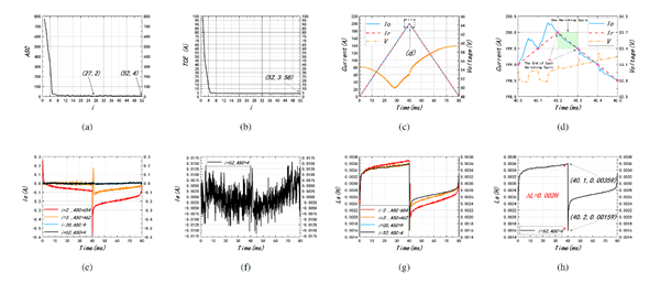
HIAF建成后将提供国际上脉冲流强最高的重离子束流,为避免空间电荷和强流动态真空引起的雪崩效应导致束流丢失,下一代强流加速器需要将离子快速加速至高能量,这要求磁铁电源具有极快电流变化率和极高的动态跟踪精度。HIAF增强器BRing二极铁磁场上升率达到12T/s,要求电源在10-100ppm跟踪精度下,非谐振电流上升率达37980A/s以上。项目组通过创新的变前励全储能方案解决了极快上升速率、巨大正负能量对电网冲击等难题,实现了52000A/s的非谐振电源上升速率。针对非谐振极快速率电源高动态响应的跟踪精度难题,提出了全新的脉冲磁铁电源解析模型最优控制策略和动态电感微调法,解决了这一难题挑战。HIAF电源系统研究人员在一台200Hz的三角波扫描磁铁及其励磁电源上开展了实验研究,成功地辨识出不同三角波所对应的动态电感波形,进而校正磁铁电源解析模型。将每个开关周期结束点电流误差由校正前的0.5A控制到0.015A以内,接近测量精度极限,控制精度大幅提高,成功验证了带有动态电感微调法的解析模型最优控制方法。该技术对下一代强流离子加速器极快循环加速有重要意义。
此研究得到国家重点研发计划 “新一代强流重离子加速器关键束流物理和核心技术预研”的支持,该项工作已在电气电子领域顶级期刊IEEE Transactions on Industrial Electronics上连续发表两篇文章。

图:扫描电源输出200A三角波实验结果
文章链接:https://ieeexplore.ieee.org/document/9384206
https://ieeexplore.ieee.org/document/8799025
附件下载: