当前位置: 首页 > 工程进展

  • HIAF团队成功研制国内首套低频、宽带、高梯度、快响应、油冷磁合金高频系统,突破了HIAF高频系统核心技术瓶颈,为HIAF工程建设打下坚实基础。 国家“十二五”重大科技基础设施强流重离子加速器装置(HIAF)团队成功研制国内首套低频、宽带、高梯度、快响应、油冷磁合金高频系统,突破了HIAF高频系统核心技术瓶颈...
  • 近日,HIAF项目放射性次级束流分离器HFRS大型超导二极磁体首台套完成测试,各项指标达到或优于设计值,标志着HFRS超导二极磁体研制成功,对HIAF工程推进具有重要意义。 近日,国家“十二五”重大科技基础设施强流重离子加速器装置(HIAF)放射性次级束流分离器HFRS大型超导二极磁体首台套完成测试,各项指标达到或优于设计值,标志着HFRS...
  • 近日,中国科学院近代物理研究所组织召开了国家“十二五”重大科技基础设施-强流重离子加速器装置(HIAF)束诊系统设计方案及样机测试国际评审会 (HIAF Beam Instrument... 近日,中国科学院近代物理研究所组织召开了国家“十二五”重大科技基础设施-强流重离子加速器装置(HIAF)束诊系统设计方案及样机测试国际评审会 (HIAF Beam Instrument...
  • ​近日,强流重离子加速器装置(简称HIAF)项目组在大功率高精度快循环电源控制方面获重要成果。 近日,强流重离子加速器装置(简称HIAF)项目组在大功率高精度快循环电源控制方面获重要成果。 HIAF建成后将提供国际上脉冲流强最高的重离子束流,为避免空间电荷和强...
  • HIAF项目组自主研发的半孔径CCT四六极超导组合磁体样机首次完成目标电流满载励磁测试,四极线圈和六极线圈单独励磁一次达到设计值500A(四极线圈)和385A(六极线圈),... 日前,强流重离子加速器装置(简称HIAF)项目组自主研发的半孔径CCT(Canted Cosine Theta)四六极超导组合磁体样机首次完成目标电流满载励磁测试,四极线圈和六极线圈...
  • 经过两年的紧张施工,HIAF装置区土石方工程目前已完成了全部土石方开挖、边坡支护、防排洪、水土保持等现场施工。 经过两年的紧张施工,“十二五”国家重大科技基础设施—强流重离子加速器装置(HIAF)园区土石方工程目前已完成了全部土石方开挖、边坡支护、防排洪、水土保持等现场施...
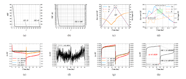
  • 近日,HIAF项目组完成了BRing二极铁电源样机两支路并联4000A脉冲输出测试,实现了4000A脉冲输出,电流上升速率达40000A/s,超过了设计指标。 近日,强流重离子加速器装置(简称HIAF)项目组完成了BRing二极铁电源样机两支路并联4000A脉冲输出测试(单脉冲),实现了4000A脉冲输出,电流上升速率达40000A/s,超过...
  • 日前,中科院近代物理研究所科研人员完成了自主研发的新一代加速器物理控制系统PACS(Physics-oriented Accelerator Control System)在兰州重离子冷却储存环HIRFL-CSR... 日前,中科院近代物理研究所科研人员完成了自主研发的新一代加速器物理控制系统PACS(Physics-oriented Accelerator Control System)在兰州重离子冷却储存环HIRFL-CSR...
  • 近日,近代物理所磁铁技术室科研人员利用TCF10低温站及自建的超导磁体低温测试平台对CERN亮度升级项目(HL-LHC),斜螺线管型(CCT)双孔径超导磁体进行了测试。测试前后... 近日,近代物理所磁铁技术室科研人员利用TCF10低温站及自建的超导磁体低温测试平台对CERN亮度升级项目(HL-LHC),斜螺线管型(CCT)双孔径超导磁体进行了测试。测试前后...
  • 2020年6月24日,HIAF项目特殊消防设计通过了由广东省住房和城乡建设厅组织的专家评审。 2020年6月24日,强流重离子加速器装置(简称HIAF)项目通过了由广东省住房和城乡建设厅组织的特殊消防设计评审。评审组由来自广东省建筑设计研究院、应急管理部四川消防...