
科研人员阐明核子短程关联在中子星输运性质及r-模不稳定性中的作用
中子星作为一类致密天体,其内部是具有极高密度的丰中子物质。因此,致密物质输运性质的可靠信息,对于理解恒星热演化和引力波辐射驱动的r-模不稳定性至关重要。其中,热导率描述星体的传热能力,是模拟中子星冷却的重要输入量。对于低温下快速运转的中子星,剪切黏滞性被认为是r-模不稳定性的一种主要阻尼机制。但是这两个输运性质目前实验都无法提取,只能依赖于理论计算。另一方面,核子短程关联一直是核物理的一个重要研究课题,它会导致费米面附近单粒子强度的衰减(也有长程关联的贡献),进而会强烈影响核子的输运性质。
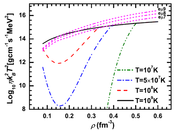
近日,中科院近代物理研究所的科研人员首次阐明了核子短程关联在核物质热导率及剪切黏滞性中的作用,进而说明了其在中子星输运性质及r-模不稳定性中的作用。科研人员利用微观多体BHF理论,并采用现实核力AV18及微观三体核力,自洽地计算了输运性质所需要的费米面处的单粒子强度、介质中的微分截面、核子有效质量以及状态方程等。结果表明,对于对称核物质、纯中子物质和β-稳定物质,当考虑核子短程关联时,输运系数都提高了数倍(如图1所示)。对于不同的密度和温度,无论是否包含短程关联,核子热导率都比轻子热导率更重要。随着温度的降低,相对于轻子,核子的剪切黏滞性变得越来越重要。如果考虑短程关联,核子的剪切黏滞性在中等密度区域与轻子相当,在低密度时超过轻子。研究还发现,与短程关联的作用相反,一旦低于核子超流的临界温度,中子的超流性会使得核子的黏滞性降低几个数量级(如图2所示)。在低温下的核子超流性存在的密度区域,轻子散射对剪切黏滞性的贡献仍然比核子散射的贡献重要。
因此,研究者认为即使在非常低的温度(106K)下,剪切黏滞性不足以使得快速转动的中子星的r-模震荡稳定。这一点扩充了我们对于脉冲星物理中的r-模不稳定性的认知。
这项工作得到了中国科学院战略性科技先导专项(B类)、国家自然科学基金、中国科学院青年创新促进会等项目的支持,文章发表在Physics Letters B上。
文章链接:https://doi.org/10.1016/j.physletb.2020.135963

图1. 对称核物质、纯中子物质和β-稳定物质中,核子及轻子的热导率及剪切黏滞系数随密度的变化。(尚新乐、董建敏/图)

图2. 考虑核子超流性时,β-稳定物质中剪切黏滞系数随密度的变化。(尚新乐、董建敏/图)
(理论物理室 供稿)

甘公网安备 62010202000713号