
近代物理所科研人员对弱束缚核的反应机制研究获新进展
弱束缚核的反应机制研究是目前原子核物理中的一个热点课题,对于核天体物理等研究具有重要意义。弱束缚的原子核在与其它原子核发生熔合反应时,除了正常的完全熔合之外,还可能会发生自身破裂而导致部分碎片参与熔合,即发生非完全熔合反应。例如,9Be破裂成2个α粒子和一个中子,其中的一个α粒子与其它原子核发生熔合反应,而其余的碎片并不参与熔合,这样会导致在库伦位垒以上区域实验测量到的完全熔合截面与理论预言值相比偏低。此前,虽然有些实验测量了弱束缚核与不同质量原子核的完全熔合和非完全熔合截面,但从现有的实验数据中还不能得出9Be诱导核反应中的完全熔合受抑制的系统性规律。
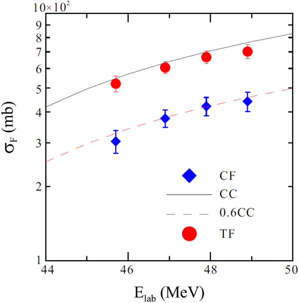
近日,中科院近代物理所的科研人员联合巴西的合作者利用兰州重离子加速器开展了相关实验,通过在线辐照与离线测量的方法提取了9Be与197Au在库伦位垒以上的完全熔合、非完全熔合以及总熔合截面,并结合已发表文章中实验数据进行了系统性的分析。实验中测得的9Be+197Au系统中非完全熔合与总熔合的截面比例约为40%,相对9Be与186W、208Pb等系统都偏高(如图1所示)。科研人员还采用耦合道模型进行了理论计算并与实验数据进行对比,结果显示:9Be+197Au系统的总熔合截面与理论计算值一致,而完全熔合截面与理论值相比偏低了约40%。这说明该抑制很可能是由于9Be在熔合前的破裂所引起的(如图2所示)。同时,科研人员进一步系统研究了9Be与其它核在库伦位垒以上区域的总熔合截面实验值与理论值的大小,发现除了9Be+186W系统外,实验提取的总熔合截面与耦合道的理论计算值均一致。这更进一步验证了9Be在熔合反应前破裂导致完全熔合截面降低的论断。
该工作得到了国家重点研发计划项目、中科院青年创新促进会项目、国家自然科学基金项目、和中国科学院前沿科学重点研究项目的支持,成果发表在期刊Physical Review C上。文章链接:https://journals.aps.org/prc/abstract/10.1103/PhysRevC.100.054601
图1 9Be+197Au、208Pb、186W以及6,7Li+209Bi系统中非完全熔合截面与总熔合截面的比值
图2 9Be+197Au系统中完全熔合截面和总熔合截面的实验值与耦合道理论计算值的对比
(超重核与核结构研究室 供稿)

甘公网安备 62010202000713号